2019年自考《企业经济统计学》章节习题及答案:第2章
《自考视频课程》名师讲解,轻松易懂,助您轻松上岸!低至199元/科!
第二章 统计数据的收集与整理
一、单项选择题
1. 某批发商业企业,其中10家大型商业企业的需求量占总需求量的90%,则只要调查这10家商业企业,就可以掌握货物需求量的基本情况。这种方法为( )。
A 普查法 B 抽样调查法
C 重点调查法 D 统计报表制度法
2. 直方图一般可用于( )。
A 累积次数的分布 B 频数分布的特征
C 变量之间的函数关系 D 数据之间的相关性
3. 当所有标志值的次数都增加一倍,而标志值不变,则算术平均数( )。
A 增加 B 减少
C 不变 D 无法确定
4. 要了解福建省居民家庭的收支情况,最适合的调查方式是( )。
A 普查 B 重点调查
C 抽样调查 D 典型调查
5. 我国人口统计普查的调查登记期限一般为( )。
A 5天 B 10天
C 15天 D 20天
6. 在比较两组数据的离散程度时,不能直接比较两者的方差,因为这两组数据的( )。
A 标准差不同 B 方差不同
C 数据个数不同 D 计量单位不同
7. 在数据集中趋势的测度中,不受极端值影响的测度是( )。
A 众数 B 几何平均数
C 调和平均数 D 算术平均数
8. 将不同地区、部门、单位之间同类指标进行对比所得的综合指标称为( )。
A 动态相对指标 B 结构相对指标
C 比例相对指标 D 比较相对指标
9. 将总体内某一部分数值与另一部分数值对比所得到的相对数称为( )。
A 计划完成相对指标 B 比较相对指标
C 比例相对指标 D 强度相对指标
10. 8名工人的日产量依次从小到大排列为15件、19件、21件、25件、29件、35件、38件、40件,则中位数为( )。
A 25件 B 29件
C 27件 D 28件
11. 总体中出现次数最多的标志值,称之为( )。
A 中位数 B 众数
C 算术平均数 D 调和平均数
12. 洛伦茨曲线反映的是( )。
A 收入分配的公平程度 B 资本积累情况
C 人口分布情况 D 收入总量情况
13. 某公司将员工分为老、中、青三类,然后根据对各个员工情况的分析,从三类员工中按比例选出若干员工为代表,调查他们的文化支出金额,再推算出全公司员工文化活动年支出金额的近似值,此为( )。
A 典型调查 B 重点调查
C 抽样调查 D 普查
14. 有12名工人看管机器台数资料如下:2、5、4、4、3、3、4、3、4、4、2、2,按以上资料编制分配数列,应采用( )。
A 单项分组 B 等距分组
C 不等距分组 D 以上几种分组均可
二、多项选择题
1. 下列属于间接资料来源的有( )。
A 统计年鉴 B 统计公告
C 报纸 D 抽样调查
2. 由下列特征值能够用于绘制箱形图的有( )。
A 最大值 B 最小值
C 众数 D 四分位数
3. 下列关于众数的说法中,正确的有( )。
A 一组数据可能存在多个众数 B 众数主要适用于分类数据
C 一组数据的众数是唯一的 D 众数不受极端值的影响
4. 统计分组的关键在于( )。
A 运用统计分组体系分组 B 选择分组标志
C 确定各组界限 D 计算组距和组中值
5. 下列指标中,可以用来说明变量离散趋势的指标有( )。
A 极差 B 平均差
C 标准差 D 离散系数
6. 影响加权算术平均数的因素有( )。
A 各组变量值水平的高低 B 各组变量值次数的大小
C 各组变量值次数占总次数比重的大小 D 组数的大小
7. 下列指标中,不受极端值影响的有( )。
A 众数 B 加权平均值
C 中位数 D 调和平均数
三、填空题
1. 我国第五次人口普查规定2000年11月1日零时为普查登记的标准时点,要求在2000年11月10日以前完成普查登记,则调查时间为 ,调查期限为 天。
2. 统计分组的关键在于 。
3. 根据分组标志的不同,分配数列可以分为品质分配数列和 。
4. 基尼系数的国际警戒线是 ,超过了它则应该采取措施缩小收入差距。
5. 相对指标有正指标和逆指标两种指标。
6. 平均指标中不受极端值影响的有 和 。
7. 箱形图是有一组数据的最大值、最小值、 和 5个特征值绘制的一个箱子和两条线段的形状。
8. 以平均指标来说明分配数列中变量的 趋势,则变异指标能说明变量的 趋势。
9. 变异系数是消除 影响后的标志变异指标,用来对两组数据的差异程度进行相对比较。
10. 某批发商企业,对下属百家企业提供某种货源,其中10家大型商业企业的需求量占总需求量的80%,只要调查这10家重点商业企业的需要,就足以掌握货物需求量的情况,这属于 。
四、判断题
1. 统计报表依据自下而上的行政手段保证统计报表制度的实施。( )
2. 在统计工作中为保证变量的分组不发生混乱,习惯上规定各组一般均只包括本组下限变量的单位,而不包括上限变量值的单位,这就是上线不在内原则。( )
3. 在进行统计分组时,技术上应满足完备性、互斥性和一致性。( )
4. 当标志值变动很不均匀,如急剧地增大或减小,变动幅度大时,可采用等距分组。( )
5. 国内生产总值、社会总产品和人口总密度均为总量指标。( )
6. 比较相对指标是将两个同类指标做静态对比得出的综合指标。( )
7. 算术平均数与强度相对数的区别之处在于,在算术平均数中分子和分母在经济内容上有着从属关系。( )
8. 直方图仅适合用于显示连续型分组数据。( )
9. 对在校大学生的年龄进行分组适合采用组距式分组。( )
10. 如果一组数据呈正态分布,则算术平均数的大小不会受极端值的影响。( )
五、简答题
1. 统计调查有哪些分类?它们有什么特点?运用于什么样的社会经济现象?
2. 统计调查方案包括哪几个方面的内容?
3. 统计分组的方法有哪些?区分简单分组、复合分组、单项式分组、组距式分组、等距分组和异距分组等分组方法,结合实际加以运用。
4. 调查对象、调查单位和报告单位相互之间有什么关系?
5. 反映总体集中趋势的指标有哪几种?离散趋势的指标有哪几种?各有什么特点和作用?
六、计算题
1. 某班45名学生“统计学”考试成绩从低分到高分排列如下:
50 51 52 56 58 59 51 62 63
64 65 66 67 68 69 70 71 72
72 72 73 74 74 74 75 75 76
76 77 78 79 80 81 83 84 84
86 86 87 88 90 91 93 97 99
试将上述资料编成等距数列,计算组距、组中值,编制统计表。
2. 根据下表资料,计算强度相对数的正指标和逆指标,并根据正指标数值分析该地区医疗卫生设施的变动情况。
|
指标 |
1999年 |
2005年 |
|
医院数量(个) |
60 |
89 |
|
地区人口总数(万人) |
112.5 |
132.3 |
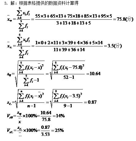
3. 甲乙两班同时进行数学考试,有关成绩分布如下表所示,哪一个班级考试成绩好些?哪一个班级成绩较为稳定?
|
甲班 |
乙班 |
||
|
成绩(百分制) |
学生人数(人) |
成绩(5分制) |
学生人数(%) |
|
60分以下 |
3 |
1 |
0 |
|
60-69 |
13 |
2 |
11 |
|
70-79 |
18 |
3 |
39 |
|
80-89 |
13 |
4 |
36 |
|
90-100 |
5 |
5 |
14 |
4. 某市奶粉厂有甲、乙两车间生产某种品牌豆奶粉,每包标准重量定为400±5克。从甲车间随机抽得100包,有关资料如下表所示。又已知乙车间奶粉平均重量为400.6g/包,标准为5.2g。
|
按豆奶粉重量分组(g/克) |
数量/包 |
|
390以下 |
2 |
|
390-394 |
9 |
|
394-398 |
19 |
|
398-402 |
39 |
|
402-406 |
18 |
|
406-410 |
9 |
|
410以上 |
4 |
|
合计 |
100 |
试求:
(1)甲车间豆奶粉的平均质量;
(2)甲车间豆奶粉重量的全距(近似值);
(3)甲车间豆奶粉的不合格率;
(4)甲、乙两车间豆奶粉的平均质量哪一个更接近标准中心值?哪个车间的平均质量更具代表性?
(5)甲车间豆奶粉重量的众数和中位数;
(6)甲车间奶粉重量属何种分布状态?
5. 对某地区农村劳动力进行抽样调查,得到劳动力按年龄的统计资料如下表所示。
|
年龄(周岁) |
比重(%) |
|
25以下 |
9 |
|
25-30 |
21 |
|
30-40 |
42 |
|
40-50 |
20 |
|
50以上 |
8 |
|
合计 |
100 |
(1)试计算劳动力平均年龄、方差、偏度及峰度;
(2)绘制劳动力年龄直方图与饼分图。
参考答案:
一、单项选择题
1、C 2、B 3、C 4、C 5、B 6、D 7、A 8、D 9、C 10、C 11、B 12、A 13、A 14、A
二、多项选择题
1、ABC 2、ABD 3、ABD 4、BC 5、ABCD 6、ABC 7、AC
三、填空题
1. 11月1日零时,10
2. 分组标志的选择
3. 变量分配数列
4. 0.4
5. 强度
6. 众数,中位数
7. 中位数,两个四分位数
8. 集中,离散
9. 平均数
10. 重点调查
四、判断题
1.× 2.√ 3.√ 4.× 5.× 6.√ 7.√ 8.√ 9.× 10.×
五、简答题
1. 答:统计调查的方式主要有:普查、抽样调查、重点调查、统计报表制度。
(1)普查。普查是专门组织的一次性的全面调查,用来调查属于时点上或时期内的社会经济现象的总量。普查可以取得被研究事物总体的全面情况。从微观上看,普查也可用于某些小范围的市场调查。例如,对市场上某种产品的供应、销售及库存的全面调查。普查具有资料全面、详尽、标准化等优点,但同时也存在因工作量大、耗资多所带来的时效性不强、成本大以及登记性误差较大等优点,因而一般不宜经常进行。
(2)抽样调查。抽样调查是一种非全面调查,它是按照随机的原则,从总体中抽取一部分单位作为样本来进行观测研究,以抽样样本的指标去推算总体指标的一种调查。
抽样调查的重要特征是:第一,按照随机性原则确定观测单位;第二,根据部分单位的调查结果,对总体进行科学推断;第三,抽样误差可以计算。
(3)重点调查。重点调查试在调查对象中选择一部分重点单位进行的一种非全面调查。这部分重点单位虽然数目不多,但就调查的标志总量来说,在总体中占有很大的比重,调查这一部分单位的情况,能够大致反映被调查现象的基本情况。因此,当调查的任务只要求掌握总体的基本情况与基本的发展趋势,而不要求掌握全面的准确资料,而且在总体中确实存在着重点单位时,比较适合采用重点调查的方法。
(4)统计报表制度。统计报表制度是根据国家有关统计法的规定,依据自上而下统一规定的表格形式、项目及其指标、报送时间与程序布置调查要求和任务,自下而上逐级汇总上报的统计报表制度。国家利用统计报表制度定期获得国民经济与社会发展情况的基本统计资料,是国家取得调查资料的主要方法之一。
2. 答:一个完整的统计调查方案通常包括:明确调查目的和任务,确定调查对象和调查单位,制定调查项目和设计调查表或问卷,确定调查时间、调查地点、调查方式方法和制定调查的组织实施计划等。
明确调查目的和任务是设计统计调查方案最根本的问题,它决定着调查工作的内容、范围、方法和组织。
调查对象是指根据调查目的、任务确定的由那些性质上相同的众多调查单位所组成的总体。
调查项目是指调查单位所要调查的具体内容属性,这些属性在统计上又称标志。它是由调查对象的性质、调查目的和任务所决定的,包括一系列品质属性和数量属性。调查项目一般采用调查表或调查问卷的形式。将调查项目科学地分类、排列,就构成调查表或调查问卷。
调查时间是指调查资料所属的时点或时期,
调查地点是指调查单位的空间位置。确定调查地点,就是规定在什么地方进行调查。
调查方式方法是指调查工作的组织方式方法,这主要取决于调查的目的、内容和调查的对象。
调查的组织计划,是指为确保实施调查的具体工作计划。
3. 答:如何统计分组取决于选择的分组标志的特征、分组标志的数量以及各组的分组标志取值,由此产生不同的分组方法。
(1)按标志的特征分组
总体单位的各个标志按分组标志的特征分组区分为品质标志和数量标志。按数量标志分组,就是选择反映事物数量差异的数量标志为分组标志,并在数量标志的变动范围内划定各组的界限,将总体划分为性质不同的若干组成部分。例如人口按年龄,企业按职工人数、商品销售额等分组。按数量标志分组的目的并不是单纯确定各组的数量差异,而是要通过数量变化来区分各组不同的类型和性质。按品质标志分组是研究品质标志的分布特点,例如人口总体按照性别分组,研究不同性别组的区别,按照民族分组则可以研究不同民族组的特点。
(2)按分组标志数量分组
统计分组按分组标志多少不同,可分为简单分组和复合分组。简单分组是对研究对象按照一个标志进行的分组。复合分组是对研究对象按两个或两个以上的标志层叠起来进行的分组。即先按一个标志进行分组,然后再按另一标志在已分好的各个组内划分为若干个小组。
变量数列按照用以分组的变量的表现形式,可分为单项数列和组距数列两种。单项数列就是指以一个变量值代表一组而编制的变量数列。单项数列的组数与数量标志所包含的变量值数目是相等的。处理变量值不多的变量资料时,宜选用此方法编制变量数列。在不同的变量值既多且变动范围较大时,用单项数列分组会使组数太多,不变分析,这时就应编制组距数列。组距数列就是用一定范围的变量值或一定的数值距离代表一组编制而成的变量数列。
组距数列可分为等距分组和异距分组。等距分组即各组组距相等的分组。异距分组即各组组距不相等的分组。在标志值变动比较均匀的条件下,可采用等距分组。选用等距分组还是异距分组,应视资料特点而定。其基本原则仍然是将不同质的单位分开。如果等距分组能符合这个要求,则尽量采用等距分组,以便于计算和分析,否则采用异距分组方法。
4. 答:调查对象是指根据调查目的、任务确定的由那些性质上相同的众多调查单位所组成的总体。即统计总体。调查单位就是构成调查总体的每一个单位,调查总体中的个体,也就是在调查过程中应该登记其标志的那些具体单位。调查单位的确定,取决于调查目的与调查对象。在确定调查对象时,要明确调查单位与报告单位(也称为填报单位)的区别,调查单位是调查登记的项目的承担者。报告单位则是指负责向上级提供调查资料的单位。调查单位与报告单位有时一致,有时不一致。
5. 答:(1)反映总体集中趋势的指标有算术平均数、众数和中位数,这三者的关系与总体分布的特征无关。
算术平均数是最常用的一种平均指标。算术平均数适合代数方法运算,因此,在实践中应用很广。但有以下不足:算术平均数易受极端变量值影响,使 V的代表性变小;当组距数列为开口组时,由于组中值不易确定,使 V的代表性变得不可靠。
众数是指总体中出现次数最多的标志值,它能够直观地说明客观现象分配中的集中趋势。在实际工作中,有时要利用众数代替算术平均数来说明社会经济现象的一般水平。众数适用于总体中的单位数较多,各标志值的次数分配又有明显的集中趋势的情况,如果总体单位数很少,尽管次数分配较集中,那么计算出来的众数意义不大。若总体单位数较多,但次数分配不集中,即各单位的标志值在总体中出现的比重较均匀,那么也无所谓众数。
中位数是将总体中各单位标志值按大小顺序排列,居于中间位置的那个标志值就是中位数。中位数属于位置平均数,它与众数一样,都是从数据位置的角度来反映数据的代表水平,中位数不受极端值的影响,各个变量值相对其中位数的绝对离差之和为最小。所以当一项变量数列中含有极大值或极小值时,较适宜采用中位数;按品质标志定位的事物求其代表水平时可用中位数。中位数的局限性为:计算复杂,不适宜作进一步数学运算;由于是位置平均数,虽不受两端数值的影响,但与众数一样,其代表性较差。
(2)常用的标志变异指标有极差、平均差、标准差以及离散系数等。
极差也称全距,是指总体分布中最大标志值与最小标志值之差,用以说明标志值变动范围的大小。
标准差是总体各单位标志值与平均数离差平方平均数的平方根,标准差的平方即为方差。极差、方差及标准差都是反映标志变异程度有计量单位的绝对数指标。
离散系数是消除平均数影响后的标志变异指标,用来对两组数据的差异程度进行相对比较,其形式为相对数,因此,也称为标志变异相对数指标。常见的离散系数是标准差系数( )。
六、计算题
1. 解:根据上述资料编成的等距数列统计及计算的组距、组中值如下表所示。
某班学生成绩统计表
|
学生成绩分布情况(分) 间断式组限 |
组中值(分) |
各组限学生人数(人) |
各组限学生人数 百分比(%) |
|
60分以下 |
55 |
7 |
15.6 |
|
60-69 |
65 |
8 |
17.8 |
|
70-79 |
75 |
16 |
35.6 |
|
80-89 |
85 |
9 |
20 |
|
90分以上 |
95 |
5 |
11.1 |






本文标签:宁夏自考 经济类 2019年自考《企业经济统计学》章节习题及答案:第2章
转载请注明:文章转载自(http://www.nxzk.nx.cn)

《宁夏自考网》免责声明:
1、由于各方面情况的调整与变化,本网提供的考试信息仅供参考,考试信息以省考试院及院校官方发布的信息为准。
2、本网信息来源为其他媒体的稿件转载,免费转载出于非商业性学习目的,版权归原作者所有,如有内容与版权问题等请与本站联系。联系邮箱:812379481@qq.com。









